ALSに対する多職種連携診療が患者に及ぼす影響を知るため、緊急入院と生存率を調査
東邦大学は1月10日、筋萎縮性側索硬化症(以下、ALS)の多職種による外来診療「ALSクリニック」が、ALS患者の緊急入院の抑制と生存率の向上に影響を及ぼすことを報告したと発表した。この研究は、同大医療センター大森病院の杉澤樹作業療法士、同大医学部の森岡治美助教、平山剛久講師および狩野修教授、同大の海老原覚教授らの研究グループによるもの。研究成果は、「Journal of Clinical Neuroscience」オンライン版に掲載されている。

画像はリリースより
(詳細は▼関連リンクからご確認ください)
ALSの症状の進行に伴って生じるさまざまな医療的・社会的な問題に対し、多職種の専門家が連携した外来診療が推奨されているが、日本では医療費や医療スタッフの確保などを理由に、十分に普及していなかった。
東邦大学医学部内科学講座神経内科学分野は、2017年2月に同大医療センター大森病院に、ALSに対する多職種連携による外来診療「ALSクリニック」を開設した。診療対象は入院と当院に通院している全てのALS患者とし、ALSクリニックに参加する全ての診療科の外来受診日を木曜日の午後に集約した。そのため、患者・介護者は1日で複数の診療科受診が可能となった。
一方、医療者においては、全ての患者の治療方針や問題点が多職種連携診療チームで共有可能となり、外来患者においても積極的な在宅医療チームとの連携が可能となった。ALSクリニック開設時、日本ではALSに対する多職種連携診療が十分に普及しておらず、また、その効果も十分に解明されていなかった。そこで今回の研究では、ALSに対する多職種連携診療が患者に及ぼす効果を解明するため、緊急入院と生存率を調査した。
ALSクリニックが患者の2回以上の緊急入院を抑制、生存率向上に関与した可能性
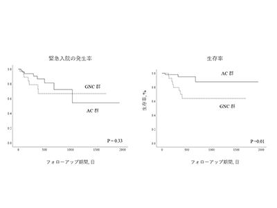
2014年3月1日~2020年2月29日の間に当院を受診したALSと診断された患者、またはALSが疑われた患者(128人)を調査対象とした。対象患者をALSクリニック開設の2017年2月を基準として、2014年3月1日~2017年2月28日に受診した患者をGeneral neurology clinic群(GNC群)、2017年3月1日~2020年2月29日に受診したALS clinic群(AC群)の2群に分けた。主要評価項目として予定入院(検査や胃瘻造設などを目的とした医師により計画された入院)の件数とその入院理由、緊急入院(肺炎や呼吸困難などによる予定されていなかった入院)の件数と、その入院理由を調査し、2群比較を実施し、緊急入院の発生率と生存率を調査した。
その結果、90人の患者(GNC群32人、AC群58人)が解析対象となった。緊急入院件数では、AC群で減少傾向を示し(GNC群11件、AC群9件)、2回以上の緊急入院ではGNC群3件、AC群0件で有意差が認められた(p<0.05)。緊急入院理由は、両群ともにALSの進行に伴う呼吸器疾患(誤嚥性肺炎、呼吸不全)による入院が半数を占めた。緊急入院の発生率では有意差を認めなかったが(p=0.33)、生存率では有意差が認められた(p=0.01)。
これらのことから、ALSクリニックが、ALS患者に対して2回以上の緊急入院を抑制し、生存率向上に関与したことが示唆された。
「ALS外来診療」の形態見直しに期待
1回の外来診療で多くの問題を解決するALSクリニックは患者の生存期間延長、QOLの改善、さらには緊急入院回数減少につながるとされ、欧米諸国では治療の一つとして考えられている。
「今回、ALSクリニックが十分に普及していない日本においても同様の効果がみられたことから、ALSの外来診療の形態が見直されることが期待される」と、研究グループは述べている。
▼関連リンク
・東邦大学 プレスリリース


